Study estimates population & prevalence of Down syndrome in nine U.S. states

As part of their series of studies reviewing demographic statistics to estimate prevalence and total population of individuals with Down syndrome, Dr. Brian Skotko and his team of researchers have now delved into the numbers for nine specific states. Based on their analysis, while pregnancies positive for Down syndrome are at an all-time high, the number of babies born has plateaued with the introduction of prenatal testing.  Continue reading Study estimates population & prevalence of Down syndrome in nine U.S. states

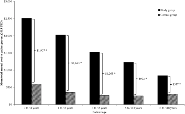
Having a child with Down syndrome is less expensive than many think

A study published today in the American Journal of Medical Genetics Part A finds that out-of-pocket medical costs of having a child with Down syndrome average less than $100 a month over the first 18 years of life. The study compared both out-of-pocket and insurance-covered costs for children with Down syndrome and matched peers without Down syndrome and found that, over the first 18 years, the additional medical costs of having a child with Down syndrome averaged $18,248 for families and $230,043 for insurers.

ajmg
Figure 2, from Kageleiry A, Samuelson D, Duh MS, Lefebvre P, Campbell J, Skotko BG. 2016. Out-of-pocket medical costs and third-party healthcare costs for children with Down syndrome. Am J Med Genet Part A 9999A:1–11. DOI: 10.1002/ajmg.a.38050

The authors found that medical expenses were highest in the first year of life, when children with Down syndrome are most likely to need surgeries that require a hospital stay. However, the average additional cost to families is perhaps surprisingly low, given the perception that children with Down syndrome incur burdensome medical costs. “I think many people will be surprised to learn that parents have few extra medical expenses when raising a child or adolescent with Down syndrome, since health insurance covers most of the costs,” said Dr. Brian Skotko, director of the Massachusetts General Hospital (MGH) Down Syndrome Program and a co-author of the study, in a MGH press release. “I hope our findings can help families better prepare for their own financial futures.”

For more information about life with Down syndrome, see the MGH Down Syndrome Program website, or download free materials at lettercase.org.

See you at #ACMG2016!

ACMG 2016 logo (150x60)-white

We are happy to be well-represented at this year’s national meeting of the American College of Medical Genetics and Genomics (ACMG). Swing by our posters and say hello!

Thursday poster session:
Poster #437
The National Center for Prenatal and Postnatal Resources: Evaluating the progressive annual utilization of a recommended patient education resource two years after the release of the 2013 ACMG statement on noninvasive prenatal screening for fetal aneuploidy
Stephanie Meredith

Poster #479
Inaccurate or Unknown Findings from cfDNA Testing: Experiences of Women and Families
Megan A. Allyse

Friday poster session:
Poster #436
Expanded prenatal cfDNA screening: Genetic counselors’ opinions regarding provider education needs (click here to see poster)
Marsha Michie, Megan A. Allyse, Stephanie A. Kraft, Subhashini Chandrasekharan, and Jessica Mozersky